Mediodía COPE-Almería. Pepe París, Verónica Ruiz y Jordi Folqué 26 11 2020
Actualidad en Almería. 30 años de Hazera España.
Actualidad en Almería. 30 años de Hazera España.
Última hora en Almería. Previsión del tiempo. Estado de las carreteras y de la mar.
Última hora en Almería. Las noticias más destacadas de la jornada.
Actualidad deportiva. José Gomes (UD Almería) habla del partido ante el Tenerife. Derrota de El Ejido FS en Copa del Rey. Entrevista a Blanca Barreras (ent. Stella Maris gimnasia).
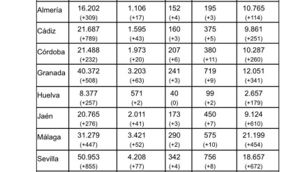
Actualidad en Almería. Datos actualizados sobre la COVID-19 en la provincia. Última hora deportiva. ¿Qué ocurrió tal día como hoy?
Última hora en Almería. Previsión del tiempo. Estado de las carreteras y de la mar.
UDA ganó en Albacete (1-2). Opinan Raúl Piñeiro e Ignacio Nicolás. Ejido FS recibe a Cartagena en la Copa del Rey de fútbol sala. 'Anda y come', con Mª Dolores Rubio Escobar.
Última hora en Almería. Datos actualizados sobre la COVID-19 en la provincia.
Actualidad en Almería. Victoria de la UDA en Albacete. El tiempo para esta semana, con José Antonio Maldonado.
Última hora en Almería. Previsión del tiempo. Estado de las carreteras y de la mar.
Actualidad deportiva. Previa del Albacete-UDA. Las claves de Raúl Lozano. Derrota del CD El Ejido. Triunfos de UDA B, Pulpileño y Huércal-Overa. Empate del Poli Almería (Tercera).
Última hora en Almería. Datos actualizados sobre la COVID-19 en la provincia. Declaraciones de Juanma Moreno (presidente de la Junta de Andalucía).
Actualidad en la provincia de Almería. Última hora deportiva, previa del Albacete-UDA. 'Campeones en valores', con Emilio Guerrero.
Última hora en Almería. Previsión del tiempo. Estado de las carreteras y de la mar.
Mª Dolores Rubio (nutricionista de COPE Almería) da unas recomendaciones para los partidos de la UDA, que jugará en horario de cena o comida hasta final de año. Hoy, a las 21 horas
Análisis previo del fin de semana. Declaraciones de José Gomes, Tito García Sanjuán, Manolo Berenguel, Falu y Óscar García. 'Mochila, cámara y acción', con Nur Hachem.
Última hora en Almería. Datos actualizados incidencia de la COVID-19 en la provincia.